MODEL
PolyCoreShellRatio
AUTHOR/MODIFICATION
Steve Kline 06 NOV 1998
Alan Munter 08 JULY 1999, converted to Java
APPROVED FOR DISTRIBUTION
DESCRIPTION
Calculates the form factor for a polydisperse spherical particle with a core-shell structure. In this model, the ratio R(core)/R(core+shell) is held constant. The form factor is normalized by the mean particle volume such that P(q) = scale*<f2>/Vol + bkg, where f is the single particle scattering amplitude and the average < > is over a Schulz distribution of radii.
Resolution smeared version is also provided.
VARIABLES
Input Variables (default values):
| Parameter | Variable | Value |
|---|---|---|
| 0 | Scale | 1.0 |
| 1 | Average Core Radius (Å) | 60.0 |
| 2 | Average Shell Thickness (Å) | 10.0 |
| 3 | Overall Polydispersity (0-1) | 0.2 |
| 4 | Core SLD (Å-2) | 1.0e-6 |
| 5 | Shell SLD (Å-2) | 2.0e-6 |
| 6 | Solvent SLD (Å-2) | 3.0e-6 |
| 7 | incoherent Background(cm-1) | 0.000 |
USAGE NOTES
The returned value is scaled to units of [cm-1], on absolute scale.

Parameter[0] (scale) is correlated with the SLD's that describe the particle. No more than one of these parameters can be free during model fitting.
Parameter[2] (polydispersity) is constrained to keep it within its physical limits of (0,1). If a value larger than 1 is entered it is quietly changed to 1 for the calculation. Polydispersity, p = s/Rt, where s2 is the variance of the distribution and Rt is the total particle radius, Rt = Rc +t. For a more complete description of the Schulz distribution, see: J. Hayter in "Physics of Amphiphiles - Micelles, Vesicles and Microemulsions" V. DeGiorgio and M. Corti, Eds. (1983) p. 69.
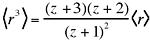
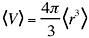
The returned form factor is normalized by the average particle volume <V>:
where
and here r denotes the total particle radius, Rc +
t, and z is the width parameter of the Schulz
distribution,
.
If the scale factor Parameter[0] is set equal to the particle volume fraction, phi, the returned value is the scattered intensity per unit volume, I(q) = phi*P(q). However, no interparticle interference effects are included in this calculation.
REFERENCE
J. B. Hayter in "Physics of Amphiphiles--Micelles, Vesicles, and Microemulsions" Eds. V. DeGiorgio; M. Corti, pp. 59-93,1983. Eqns: 32-37
TEST DATASET
This example dataset is produced by calculating the PolyCoreShellRatio using 128 data points, qmin = 0.001 Å-1, qmax = 0.7 Å-1 and the above default parameter values.
