MODEL
PeakGauss
AUTHOR/MODIFICATION
John Barker 10 FEB 1999
Alan Munter 08 JULY 1999, converted to Java
APPROVED FOR DISTRIBUTION
DESCRIPTION
Model describes a Gaussian shaped peak including a flat background.
Resolution smeared version is also provided.
VARIABLES
Input Variables (default values):
| Parameter | Variable | Value |
|---|---|---|
| 0 | Scale | 100.0 |
| 1 | Peak Position (Å-1) | 0.05 |
| 2 | Standard Deviation (Å-1) | 0.005 |
| 3 | Incoherent Background (cm-1) | 0.0 |
USAGE NOTES
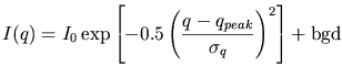
The function calculated is:

with the peak having height of I0 centered at qpeak having a standard deviation of sigma. The FWHM is 2.354*sigma.
REFERENCE
TEST DATASET
This example dataset is produced by calculating the PeakGauss using 300 data points, qmin = 0.001 Å-1, qmax = 0.7 (Å-1) and the above default parameter values.
