MODEL
HardSphere
AUTHOR/MODIFICATION
Steve Kline 06 NOV 1998
Alan Munter 04 NOV 1999, converted to Java
APPROVED FOR DISTRIBUTION
DESCRIPTION
Calculates the interparticle structure factor, S(q), for monodisperse spherical particles interacting through hard sphere (excluded volume) interations. The solution uses the Percus-Yevick closure.
VARIABLES
Input Variables (default values):
| Parameter | Variable | Value |
|---|---|---|
| 0 | Radius (Å) | 50.0 |
| 1 | Volume Fraction (0-1) | 0.2 |
USAGE NOTES
The returned value is dimensionless.
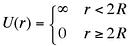
The interaction potential is:

where r is the radial distance from the center of the sphere of radius R.
REFERENCE
Percus, J. K.; Yevick, G. J. Phys. Rev. 1958, 110, 1.
TEST DATASET
This example dataset is produced by calculating the HardSphere using 128 data points, qmin = 0.001 Å-1, qmax = 0.3 (Å-1) and the above default parameter values.
